计算机基础知识之补码
补数的概念

当我们将时钟的指针从6点拨到2点时,可以通过两种操作方式实现:逆时针拨动4下或顺时针拨动8下。这两种方法是等价的。如果将逆时针拨动视为负数,顺时针拨动视为正数,那么在时钟拨动的例子中,+8 是 -4 在模数12下的补数。
模的概念:
模(或称模数)是一个数值计量系统的计量范围,记作mod或M。一旦确定了“模”,就可以找到一个与负数等价的正数来代替该负数,这个正数就是负数的补数。超出计量范围的数都应该自动舍去模数。例如,6 + 13 = 19 ≡ 7 (mod 12)。
在该8位寄存器中,能表示的无符号定点数最大数值为2^8,最小值为0。当超过最大值时就会舍弃模数(向前再进一位),而后这8位都从0开始。
补数的特点:
一个负数可以用它的正补数来替代,而这个正补数可以通过模数加上负数本身求得。一个正数和一个负数互为补数时,它们的绝对值之和即为模数。正数的补数即该正数本身(这个无需深究,只需记住即可)。对于特点1,前面时钟的例子中,[-4]的补数 = 12 + (-4) = +8,同样的,[-9]的补数为12 + (-9) = +3。对于特点2,|+8| + |-4| = 12,|-9| + |+3| = 12。
寻找一个负数的整补数的意义何在呢?
将减法转换为加法运算,符号位也可以直接参与运算。这样,计算机内部就可以使用加法器来实现减法运算,而不必专门设置减法器,从而降低了硬件的复杂度和成本。
最后,因为16超过了模数范围,自动舍弃模数,即16 - 12得到最终结果4。
补码将补数的概念应用到计算机内部,便出现了补码这种机器码(机器数)。
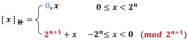
正数的补码:符号位为0,数值位就是它本身。负数的补码:等于模数加上该负数本身,而模数就是最高位进位的位权值。定点整数的补码定义:
假设真值x为定点整数,n为x的补码表示中数值位的位数(比特数量),加上1个符号位,x的补码表示共有n+1位,最低位的位权值为2^0,而最高位(符号位)的位权值为2^n,因此最高位进位的位权值为2^(n+1),即模数为2^(n+1)。



0在补码和原码表示时的区别:

可以看出正数的原码与补码相同,而负数的原码和补码是不同的。
0在原码中有两种表示形式,但在补码中只有一种表示形式,因此补码可以比原码多表示一个数。
定点小数的补码定义:
假设真值x为定点小数(纯小数),小数点左侧的位为最高位(符号位),其位权值为2^0,而最高位进位的位权值为2^1,即模数为2^1=2。



现代计算机中多采用IEEE754标准表示浮点数,而其中的定点小数采用原码表示,因此通常不会涉及定点小数的补码表示。
相关参考:https://www.php.cn/link/1e06ec8cf0abf417f8c787235f66f350
补码的优缺点:
优点:
表示方法使得减法运算可以转换成加法运算。真值0在补码中只有一种表示,这使得补码比原码多表示一个最小负数。符号位可以直接参与运算,运算时符号位的进位作为模会被自动舍弃。
目前计算机中普遍采用补码表示有符号定点整数,例如C语言中的char、short、int、long型整数都是采用补码进行表示的。
缺点:
补码的表示相对原码更加复杂。原码的数值位与真值的绝对值相同。因此,通过原码可以很容易地得出真值。但是,补码就没有这么简单了。
下一篇 >>
网友留言(0 条)