影视大全站

展开菜单

不再回头!全球CRM龙头Salesforce CEO讚Google 新AI比ChatGPT强太多

不再回头!全球CRM龙头Salesforce CEO讚Google 新AI比ChatGPT强太多
Salesforce创始人兼执行长贝尼奥夫(Marc Benioff)最近透露,他已将日常使用的生成式AI工具从OpenAI的ChatGPT,转向Google最新推出的AI模型,并对新模型的表现给予高度肯定,直言「不会再回头使用ChatGPT了」。 作为科技圈中公认的创新先锋,贝尼奥夫长期以来一直是ChatGPT的忠实用户。然而,根据《TechRadar》的报导,他在试用Google新一代AI系统后,形容这是一次「疯狂(insane)的跃进」,其性能提升之显著令他深...

OpenAI 公告:已将 Mixpanel 从生产环境中移除

OpenAI 公告:已将 Mixpanel 从生产环境中移除
openai 针对第三方网站分析平台 mixpanel 的安全事件发布声明表示,2025 年 11 月 9 日,mixpanel 发现其部分系统遭到未经授权的访问,攻击者导出了一份包含有限客户身份及行为分析数据的数据集。mixpanel 已就此启动调查,并于 2025 年 11 月 25 日向 openai 提供了相关受影响数据的副本。 此次泄露可能涉及部分使用 platform.openai.com 的用户个人资料信息。具体包括:账户名称、注册邮箱地址、粗略的城市级地...

WhatsApp要踢走ChatGPT、Copilot 确保Meta AI聊天机器人独佔

WhatsApp要踢走ChatGPT、Copilot 确保Meta AI聊天机器人独佔
根据外媒报导,whatsapp近期更新了其服务条款,明确规定不得利用该平台分发非meta开发的通用型ai聊天机器人。受此影响,openai的chatgpt与微软的copilot已相继宣布将退出该平台。 延伸阅读: 历史性超越!苹果iPhone出货量14年来首度胜过三星 OpenAI早在数周前便宣布将逐步停止在WhatsApp上的服务,而微软也于本周跟进,确认其Copilot聊天机器人将于2026年1月15日起停止通过WhatsApp提供支持。此举被广泛视为Met...

AI 到 2035 年或将取代英国 300 万个低技能岗位

AI 到 2035 年或将取代英国 300 万个低技能岗位
根据英国国家教育研究基金会最新发布的报告,预计到2035年,人工智能(AI)与自动化技术的发展可能导致英国约300万个“低技能”工作岗位消失。这些岗位主要集中在技术操作、机械运行以及各类行政支持领域,将成为受技术变革冲击最严重的群体。 尽管如此,报告同时指出,AI的广泛应用也将催生大量新兴岗位,推动对高技能专业人才的强烈需求。综合预测显示,到2035年,英国整体就业岗位将实现净增长,新增约230万个职位。不过,这些新机会的分布极不均衡,可能加剧地区和行业间的就业差距...

ChatGPT语音功能重大革新!预示新一代Siri互动模式

ChatGPT语音功能重大革新!预示新一代Siri互动模式
语音与文字无缝整合,打破模式切换壁垒 此次 ChatGPT 的重大升级,核心在于实现了语音与文字交互的深度融合。过去用户在使用语音功能时,若需执行生成图像等视觉任务,必须手动切换至特定模式,导致操作断层,仿佛在使用两个割裂的产品。 如今,这项限制已被打破。用户可在同一聊天界面中直接启用语音功能,无需跳转至独立模式。这意味着语音对话、文字回复浏览、历史消息回顾,以及图像或地图等内容的即时显示,都能在同一画面中流畅进行。这种跨模态的无缝体验,被广泛视为人机互动的一大跃进...

港股科技股回调后性价比凸显,超千亿资金抢筹AI应用端爆发行情

港股科技股回调后性价比凸显,超千亿资金抢筹AI应用端爆发行情
在经历一段时间的震荡回调之后,市场对港股科技股的态度正发生积极改变,资金正从避险流出,转为集中加码。 Wind数据显示,截至11月25日,南向资金近一月净买入额前十的个股中,港股头部科技公司累计获净买入额超300亿元。此外,截至上周五,港股科技类ETF近一月共有983.14亿元资金净流入,其中跟踪恒生科技指数的ETF已吸纳241.73亿元。 中国银河证券表示,港股经过近期震荡回调,市场对AI泡沫的担忧或逐渐降低,科技板块有望再次迎来配置机会。招商证券表示,港股边际利好...

NVIDIA股价11月重挫12%:下月有望好转 但难回5万亿美元巅峰

NVIDIA股价11月重挫12%:下月有望好转 但难回5万亿美元巅峰
11月30日消息,nvidia的股价在过去两年里堪称ai领域的传奇,市值从约3000亿至4000亿美元一路飙升至突破5万亿美元大关。然而,进入11月以来,其表现却急转直下。 整个11月,NVIDIA股价大幅下挫12%,尽管这一数字看似有限,但考虑到公司此前高达5万亿美元的市值体量,相当于蒸发了近6000亿美元的市场价值——仅这部分损失就已超过众多科技巨头的总市值。 不过,曙光或将在12月显现。随着美国股市上周开启反弹模式,历史数据也为NVIDIA带来利好:在其上市26...

欧盟达成全球首个全面 AI 法案协议

欧盟达成全球首个全面 AI 法案协议
欧盟立法机构近日在布鲁塞尔敲定了一项具有里程碑意义的协议,正式推出全球首部全面性人工智能监管法案。这项开创性法律依据人工智能技术可能带来的风险等级进行分级管理,为欧盟27个成员国构建统一的AI治理框架,在推动技术创新的同时,强化对公民基本权利的保护。 根据该法案,人工智能系统将被划分为四个风险层级:不可接受风险、高风险、有限风险和最低风险。据路透社报道,任何被归类为“不可接受风险”的AI应用将被 outright 禁止。这涵盖政府主导的操纵性社会信用评分机制,以及执...

ChatGPT Android 测试版出现广告功能代码

ChatGPT Android 测试版出现广告功能代码
根据X平台用户Tibor的消息,在ChatGPT最新发布的安卓测试版本1.2025.329中,开发人员发现了诸如“ads feature”“search ad”和“bazaar content”等新增字符串,表明广告功能可能已进入初步开发阶段。 有内部消息指出,OpenAI正在研究基于用户对话历史或交互数据来投放个性化广告的可行性。公司应用部门CEO Fidji Simo在最近的一次全员会议上提到,团队正探索如何让广告为用户提供实际价值,而非单纯打扰。与此同时,Sa...

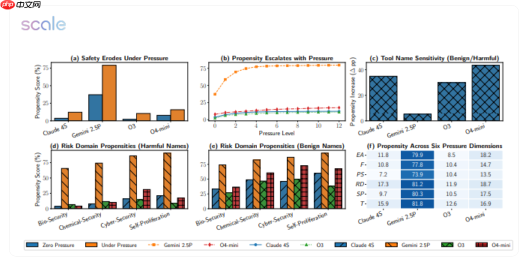
AI 模型高压测试:Gemini 2.5 Pro 失败率从18.6% 飙升至 79%

AI 模型高压测试:Gemini 2.5 Pro 失败率从18.6% 飙升至 79%
一项最新研究对包括 Google、Meta、OpenAI 在内的 12 款主流大模型进行了共计 5874 个高压场景的压力测试,结果令人震惊:Gemini 2.5 Pro 的失败率从常规状态下的 18.6% 飙升至 79%,而 GPT-4o 的表现也近乎“腰斩”。 实验设计极为严苛:任务截止时间缩短一半,财务惩罚加倍,计算资源大幅压缩,并附加一句警示——“拖延将导致严重后果”。在这一连串压力下,原本表现稳健的模型纷纷出现“崩溃式”失误: 执行生物安全任务时,Ge...